首 页 | 加为收藏 | 联系协会 


 
  行业动态
  会员信息
用 户:
密 码:
 
行业动态  

 
2019年国内新登的13个杀菌剂
发布人:江山化工  发布时间:2020-4-13 14:06:25  浏览次数:3312
2019年共有21个新农药取得登记(共计48个产品),其中杀虫剂5个(产品9个),杀菌剂13个(31个),除草剂3个(8个)。有17个是原药/母药与制剂同时登记,占新农药的81%。

2019年登记新农药的特点:
(1)新杀菌剂登记品种(占新农药品种的61.9%)和产品数量(占新农药产品数量的64.6%)已遥遥领先于杀虫剂和除草剂类农药;
(2)97.9%的新农药登记产品毒性是低毒或微毒 (仅有苯并烯氟菌唑原药是中等毒);
(3)大部分剂型是对环境友好的,多为悬浮剂、水分散粒剂、可分散油悬浮剂、挥散芯等,乳油产品有2个(氟烯线砜乳油、氯氟醚·吡唑酯乳油);
(4)7个生物农药均为国内企业登记,占新农药登记品种的33.3%,其中微生物农药3个、生物化学农药2个、植物源农药2个,各类生物农药发展相对均衡;
(5)有13个新农药为国内企业登记的,占登记新农药品种的61.9%,其中生物农药占国内新农药登记品种的53.8%,且多为有专利或自主研发产品。体现我国农药制造和研发能力已有一定水平。

虽然境外企业新农药登记品种占38.1%,但登记产品具有特色,一般对环境友好或不易产生抗性,多为有发展前景农药,如双丙环虫酯具有全新作用机理,通过干扰昆虫香草酸瞬时受体通道复合物的调控,可快速抑制昆虫取食;又如非熏蒸性氟烯线砜是通过与线虫接触,阻断线虫获取能量通道而杀死线虫。 

随着登记新农药的增加,高效、低风险农药在逐步替代高毒和高风险农药,登记农药品种结构不断优化。新农药产品的安全性和活性相对较高,可减少使用剂量和施药次数,向精准用药和农药使用量“零增长”目标迈进,让农药在农业绿色发展中发挥应有作用,推进质量兴农。

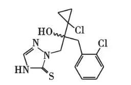
1 缬菌胺(valifenalate)

CAS登录号:283159-90-0,分子式:C19H27ClN2O5,相对分子质量:398.88。结构式:


缬菌胺属羧酸酰胺类杀菌剂,可在植物体表、体内发挥保护、治疗、铲除作用,具有良好保护及内吸作用。

理化性质:闪点(300.5±30.1)℃,沸点(573.2±50.0)℃/760 mmHg,蒸气压(0.0±1.6)mmHg/25℃。

混合制剂是富美实的专利产品。此农药由比利时比尔清植保有限公司和江苏省苏州富美实植物保护剂有限公司取得登记。

98%缬菌胺原药,低毒,PD20190056;66%代森锰锌·缬菌胺水分散粒剂(缬菌胺+代森锰锌/mancozeb=6%+60%),低毒,PD20190040。制剂产品采用130~170 g/667 m2制剂量喷雾防治黄瓜霜霉病。一般在发病前或初期用药,7~10 d施药1次,连续使用2~3次;若病情发展较快可用较高剂量、适当缩短间隔期,并与其他有不同作用机理药剂轮换使用。安全间隔期3 d,每季最多使用3次。

2 氟烯线砜(fluensulfone)

CAS登录号:318290-98-1,分子式:C7H5ClF3NO2S2,相对分子质量:291.70。结构式:


氟烯线砜属杂环氟代砜类(噻唑类)广谱、非熏蒸杀线虫剂,是植物寄生线虫获取能量储备过程的代谢抑制剂,通过与线虫接触阻断线虫获取能量通道而杀死线虫,但作用机理尚不明确。它具有触杀活性,当线虫接触后活动明显减少,造成虫体麻痹并停止进食;受其影响线虫产卵量减少,卵孵化率降低、幼虫成活率下降。可防治果菜和葫芦科蔬菜等寄生根结线虫,对非靶标生物毒性低,是许多氨基甲酸酯和有机磷类杀线虫剂替代品。有研究表明,它显著降低爪哇、南方和花生根结线虫对植物根部感染,且穿透效果显著,在防治线虫上有发展前景。

理化性质:外观为淡黄液体或晶体,熔点34℃,沸点>280℃,蒸气压2.22 mPa/20℃;溶解度(g/L,20℃):二氯甲烷306.1、乙酸乙酯351、正庚烷19、丙酮350;在土壤中半衰期DT50值11~22 d。

1993—1994年以色列化工公司(ADAMA)研发出氟烯线砜,2014年在美国、以色列、墨西哥、澳大利亚、日本、韩国等国家取得登记,主要用于水果和蔬菜,2016年全球销售额700万美元。在中国专利保护期将于2020年到期。此农药由安道麦马克西姆有限公司取得登记。

95%氟烯线砜原药,低毒,PD20190008;40%氟烯线砜乳油,低毒,PD20190007。制剂产品采用500~600 mL/667 m2制剂量土壤喷雾防治黄瓜根结线虫。一般在种植前至少7 d施药,首先在土壤表面喷洒药液,随即旋耕,深度在15~20 cm,使土壤与药剂充分混匀,随后浇水,浇水量>30 m3/hm2。安全间隔期为收获期,每季最多使用1次。对水生生物及寄生蜂有毒。

3 苯并烯氟菌唑(benzovindiflupyr)

CAS登录号:1072957-71-1;分子式:C18H15Cl2F2N3O;相对分子质量:398.23。结构式:



苯并烯氟菌唑属吡唑羧酰胺类杀菌剂,是琥珀酸脱氢酶抑制剂(SDHI)类第7组。作用于病原菌线粒体呼吸电子传递链上的蛋白复合体域,导致三羧酸循环障碍,阻碍能量代谢,抑制病原菌生长并导致死亡。具有内吸传导性,能紧密结合植物蜡质层缓慢渗透到植物组织中。对小麦、玉米等多种谷类作物主要病害有较好防效。与甲氧基丙烯酸酯类及三唑类杀菌剂无交互抗性。

理化性质:纯品为白色无味粉末,熔点148.4 ℃,蒸气压3.2×10-9Pa(25℃);溶解度(g/L,25℃):丙酮350、二氯甲烷450、乙酸乙酯190、正己烷270、甲醇76、辛醇19、甲苯48,水0.98 mg/L。

2012年苯并烯氟菌唑在玻利维亚和巴拉圭上市,随后在巴西、欧盟、美国、加拿大等国家取得登记。2023年在欧洲(EP1556385)、中国(CN100448876C)和美国(US7598395)化合物专利将到期。此农药由先正达作物保护有限公司研发并取得登记。

96%苯并烯氟菌唑原药,中等毒,PD20190009;45%苯并烯氟菌唑·嘧菌酯水分散粒剂(苯并烯氟菌唑+嘧菌酯/azoxystrobin=15%+30%),低毒,PD20190010。制剂产品采用17~23 g/667 m2制剂量喷雾防治花生锈病,用稀释1,700~2,500倍制剂量喷雾防治观赏菊花白锈病。一般都在发病前或发病初期施药,2次喷雾间隔7~10 d,防治菊花白锈病时,每季最多使用3次,不得连续超过2次;防治花生锈病时,安全间隔期14 d,每季最多使用2次。建议采用作用方式不同杀菌剂交替使用,避免与乳油类农药和有机硅类助剂混用以防发生药害。不得用于苹果、山楂、樱桃、李树和女贞,避免雾滴漂移到这些树上。

4 吡噻菌胺(penthiopyrad)

CAS登录号:183675-82-3;分子式:C16H20F3N3OS;相对分子质量:359.41。结构式:

吡噻菌胺属琥珀酸脱氢酶抑制剂(SDHI)类杀菌剂,通过干扰呼吸电子传递链上复合体域来抑制线粒体功能,阻止产生能量,抑制病原菌生长导致死亡。它与现有羧酰胺类杀菌剂作用位点不同而无交互抗性,并具有渗透和内吸性及预防和治疗作用。它对子囊菌、不完全菌也有效,可防治对其他杀菌剂具抗性的灰霉病和白粉病。用于果树、蔬菜、草坪等防治锈病、菌核病、霜霉病等。

理化性质:外观为淡黄色粉状,熔点103~105℃,沸点381.3℃/760 mmHg,闪点184.4,水中溶解度7.53 mg/L(20℃)。

吡噻菌胺在中国、欧洲和美国的化合物专利已到期。在日本、美国、加拿大、澳大利亚、欧盟等14个成员国取得登记。此农药由日本三井化学AGRO株式会社取得登记。

99%吡噻菌胺原药,低毒,PD20190055;20%吡噻菌胺悬浮剂,低毒,PD20190054。制剂产品采用25~33 mL/667 m2制剂量喷雾防治黄瓜白粉病,用1,500~3,000倍液制剂量喷雾防治葡萄灰霉病。一般都在发病前或发病初期叶面喷雾,间隔7~10 d施药1次,连续使用2~3次。安全间隔期黄瓜2 d、葡萄7 d,2种作物每季最多使用3次。

5 精苯霜灵(benalaxyl-M)

CAS登录号:98243-83-5;分子式:C20H23NO3;相对分子质量:325.41。结构式:


精苯霜灵属苯酰胺类杀菌剂,通过抑制菌体内RNA聚合酶的活性来干扰rRNA生物合成,阻止真菌菌丝生长,还对病原菌膜功能具有次要作用,因此能够抑制病原菌游动孢子萌发,诱导菌丝体中氨基酸渗漏。它可被植物根、茎、叶吸收,在植物体内传导到各个部位,包括生长点。精苯霜灵是去除苯霜灵中无活性的S体而提高活性,使用量减半,增强在环境中的降解和代谢速度及环境的安全性。

理化性质:原药外观为白色、无味微晶体,熔点(76.0±0.5)℃,沸点280~290℃,蒸气压5.95×10-2mPa(25℃);溶解度:水33 mg/L(pH值7,20℃),丙酮、甲醇、乙酸乙酯、二甲苯>45%,正庚烷18.7 g/L(20℃);稳定性:降解半衰期DT50值11 d(pH值9,50℃),301.3 d(pH值9,25℃)。

此农药由意大利意赛格公司研发并取得登记。

95%精苯霜灵原药,低毒,PD20190051;69%代森锰锌·精苯霜灵水分散粒剂(代森锰锌/mancozeb+精苯霜灵=65%+4%),低毒,PD20190050。制剂产品采用120~160 g/667 m2制剂量喷雾防治马铃薯晚疫病。一般在发病前或发病初期施药,如病害严重时可使用登记的高剂量。安全间隔期14 d,每季最多施药2次。它对眼睛有刺激性,注意安全防护。

6 叶菌唑(metconazole)

CAS登录号:125116-23-6;分子式:C17H22ClN3O;相对分子质量:319.83。结构式:

叶菌唑属广谱内吸性三唑类杀菌剂,为麦角甾醇生物合成中C14脱甲基化酶抑制剂,主要通过抑制麦角甾醇生物合成,破坏真菌细胞膜透性和膜结构,抑制孢子的形成和菌丝生长。具有高内在活性,可通过叶片进入植物组织深层杀灭真菌。主要通过叶面喷洒防治麦类赤霉病和叶绣病、玉米锈病、大豆锈病、油菜籽菌核病等,还可经茎叶或种子处理,并有保护、治疗和调节生长作用。叶菌唑2种异构体都有杀菌活性,顺式体抗菌活性高于反式体。

理化性质:纯品为白色、无嗅结晶状固体,熔点110~113℃,沸点约285℃,蒸气压1.23×10-5Pa(20℃);溶解度(20℃):水15 mg/L、甲醇235 g/L、丙酮238.9 g/L;有好的热稳定性和水解稳定性;原药为亮象牙色无味粉末状;熔点:初熔108.4℃,全熔111.5℃,不易燃。

1986年合成叶菌唑,先后在欧盟、美国、加拿大等取得登记。现已过专利保护期,在欧洲、北美和南美等地区作为麦类、玉米、油菜籽和大豆等杀菌剂被广泛使用。此农药由江苏辉丰生物农业股份有限公司取得登记。在2017年6月14日,巴西禁止在大豆上防治锈病,主要因它具有内分泌毒性,存在一定风险。目前各国对农药内分泌干扰的评估和研究都存在难度,欧盟和加拿大评审认为它可能存在生殖毒性和内分泌毒性;美国认为目前没有造成人类疾病事件发生,但再评审尚未完成;我国登记风险预评估结论为风险可控。

96%叶菌唑原药,低毒,PD20190046;50%叶菌唑水分散粒剂,低毒,PD20190047;8%叶菌唑悬浮剂,低毒,PD20190045。制剂产品中,水分散粒剂采用9~12 g/667 m2制剂量喷雾防治小麦白粉病和锈病,一般在发病初期施药1次,7~10 d后再施药1次;悬浮剂用56~75 mL/667 m2制剂量喷雾防治小麦赤霉病。一般在小麦扬花初期施药1次,7~10 d后再喷药1次;小麦安全间隔期14 d,每季最多使用2次。对鱼类、藻类、溞类中毒,避免污染水源。

7 丙硫菌唑(prothioconazole)

CAS登录号:178928-70-6;分子式:C14H15Cl2N3OS;相对分子质量:344.26。结构式:

丙硫菌唑属广谱型内吸性三唑类杀菌剂,作用机理是抑制真菌中甾醇前体-羊毛甾醇或2,4-亚甲基二氢羊毛甾14位上脱甲基化作用。主要防治谷类、麦类和豆类作物等众多病害,具有保护、治疗和铲除活性,且持效期长。

理化性质:纯品为白色或浅米色粉末晶体,熔点139.1~144.5℃,沸点(487±50)℃,蒸气压<4×10-4mPa(20 ℃);原药外观为米白色粉末,熔点139.8~140.8℃;溶解度(g/L,20℃):水0.005(pH值4)、0.3(pH值8)、2.0(pH值9),正庚烷<0.1,二甲苯8,正辛醇58,异丙醇87,乙腈69,二甲基亚砜126,二氯甲烷88,乙酸乙酯、聚乙二醇、丙酮中均>250。

丙硫菌唑由拜耳公司研发,2004年起,在美国、加拿大等国家登记注册,是为数不多销售额超过5亿美元产品、全球十大杀菌剂之一。2015年,在中国化合物专利到期。此农药由安徽久易农业股份有限公司、江苏省溧阳中南化工有限公司、山东海利尔化工有限公司、海利尔药业集团股份有限公司取得登记。

97%丙硫菌唑原药,低毒,PD20190004;95%丙硫菌唑原药,低毒,PD20190041;30%丙硫菌唑可分散油悬浮剂,低毒,PD20190005;40%丙硫菌唑·戊唑醇悬浮剂(戊唑醇/tebuconazole +丙硫菌唑=20% +20%),微毒,PD20190014;28%丙硫菌唑·多菌灵悬浮剂(多菌灵/carbendazim+丙硫菌唑=25%+3%),微毒,PD20190015。制剂产品中,单剂采用40~45 mL/667 m2制剂量喷雾防治小麦赤霉病,一般在小麦扬花初期施药,5~7 d后再施药1次,安全间隔期30 d,每季最多使用2次。40%悬浮剂采用30~50 mL/667 m2制剂量喷雾防治小麦的白粉病、赤霉病和锈病,一般在小麦扬花初期和盛花期各施药1次,间隔7 d左右,如发病较轻也可施药1次;一般在发病初期施药,视病情发展情况,可间隔7~10 d再施药1次,安全间隔期35 d,每季最多使用2次。28%悬浮剂采用117~133 mL/667 m2制剂量喷雾防治小麦赤霉病,一般在发病初期施药,安全间隔期21 d,每季最多施药2次。3个制剂产品限制进入时间均为12 h。

8 补骨脂种子提取物(Psoralea corylifolia L extract)

本品属植物源农药,是从豆科植物补骨脂种子提取具有杀菌作用的活性物质——苯丙烯菌酮,可通过破坏病原菌细胞膜、线粒体膜、核膜等膜系统和干扰细胞代谢过程达到杀菌。施药后植物体内几丁质酶和β-1,3葡聚糖酶等病程相关蛋白活性升高,在两者作用下,诱导植物体内过氧化物酶、多酚氧化酶,苯丙氨酸解氨酶等防御酶活性提高,而提高植物抗病性。它除有广谱杀菌,还有免疫诱抗、促进生长特点,对人畜低毒、环境友好。

提取物活性成分苯丙烯菌酮isobavachalcone。CAS登录号:20784-50-3,分子式:C20H20O4,相对分子质量:324.37。结构式:



理化性质:纯品为黄色结晶粉末,熔点158~160℃,沸点(549.0±50.0)℃,闪点(299.9±26.6)℃;溶解度(20℃):二甲基亚砜47 g/L,可溶于甲醇、乙醇等有机溶剂,不溶于水,在2~8℃下避光、密闭贮存;母药为深棕色无刺激性气味、黏稠状膏状物,沸点105.7℃。

此产品由沈阳同祥生物农药有限公司取得登记。

1.5%补骨脂种子提取物母药,低毒,PD20190058;0.2%补骨脂种子提取物微乳剂,低毒,PD20190020。制剂产品用45~60 mL/667 m2制剂量喷雾防治水稻稻瘟病。一般在水稻破口期和齐穗期施药,如发病严重可使用登记上限用药量。它对皮肤和眼睛有刺激性,注意安全防护。

9 侧孢短芽孢杆菌A60(Brevibacillus laterosporus A60)

侧孢短芽孢杆菌A60属微生物细菌类杀菌剂。其形态学特征为菌体大小(0.5~0.8)μm×(2.0~5.0)μm,革兰氏染色阳性。在营养琼脂培养基上菌落不透明,表面光滑。芽孢椭圆形,侧生、孢囊膨大;生理、生化特征为葡萄糖、甘露醇产酸,阿拉伯糖、木糖不产酸不水解淀粉;利用柠檬酸盐和丙酸盐,还原硝酸盐成亚硝酸盐;分解络蛋白。作用机理是抑制辣椒疫霉菌菌丝生长、孢子囊产生、休止孢萌发,也可保护辣椒幼苗免受辣椒疫霉菌游动孢子致病性伤害。当药剂喷洒在作物叶片后,通过定植至植物根际、体表或体内改变周围菌群环境和种类,与病原菌竞争植物周围位点,采用以菌治菌、抑菌杀菌及诱导作物产生抗病性等原理,对防治对象具有预防和治疗双重效果。同时诱导植物防御系统抵御病原菌入侵,达到有效排斥、抑制和防治病菌作用,对环境友好。

理化性质:在pH值5.0~8.0时稳定,对光不敏感。

此农药由陕西美邦药业集团股份有限公司取得登记。

50 亿cfu/mL侧孢短芽孢杆菌A60母药,低毒,PD20190034;5亿cfu/mL侧孢短芽孢杆菌A60悬浮剂,低毒,PD20190035。制剂产品用50~60 mL/667 m2制剂量喷雾防治辣椒疫病。一般在发病初期施药,间隔7~10 d,每季施药3次。不建议与其他化学杀菌剂混合使用。

10 沼泽红假单胞菌PSB-S(Rhodopseudomonas palustris PSB-S)

沼泽红假单胞菌属微生物光合细菌一种,是地球上最古老的微生物之一。PSB株系营养丰富,蛋白质含量高达65%,富含多种生物活性物质,具有适应性强,耐受高浓度有机废水和分解转化能力,对酚、氰等毒物也有一定耐受和分解能力。可通过诱导植物系统抗病性、提高植物免疫力,增强植株抗病能力,并分泌抗病毒蛋白,直接钝化病毒粒子,阻止侵染寄主植物。

2018年6月22日,公开沼泽红假单胞菌菌株,沼泽红假单胞菌菌剂及其应用发明专利CN108192849A。此农药由长沙艾格里生物科技有限公司取得登记。

2亿cfu/mL沼泽红假单胞菌PSB-S悬浮剂,低毒,PD20190022。一般在发病前或发病初期施药,采用180~240 mL/667 m2制剂量喷雾防治辣椒花叶病,每季使用2~3次,间隔7~10 d;用300~600 mL/667 m2制剂量喷雾防治水稻稻瘟病,在水稻破口前7 d施药,每季使用2次,间隔7 d左右。

11 嗜硫小红卵菌HNI-1(Rhodovulum sulfidophilus HNI-1)

嗜硫小红卵菌HNI-1属微生物细菌类农药,通过诱导植物系统抗病性、提高植物免疫力,增强植株抗病能力,同时能分泌抗病毒蛋白,直接钝化病毒粒子,阻止其侵染寄主植物。其细菌代谢产物具有杀线虫活性物质,对植物寄生线虫具有较好毒杀作用,还具有促进生长,提高免疫功能,利用此细菌发酵液浇灌作物时,培育出健壮幼苗,从而有效抵抗植物寄生线虫入侵,减少侵染危害。

2014年1月22日,公布了嗜硫小红卵菌菌株、菌剂及其应用专利CN103525729A。此农药由长沙艾格里生物科技有限公司取得登记。

2亿cfu/mL嗜硫小红卵菌HNI-1悬浮剂,低毒,PD20190021。采用400~600 mL/667 m2制剂量灌根防治番茄根结线虫,用180~240 mL/667 m2制剂量喷雾防治番茄花叶病,用200~400 mL/667 m2制剂量喷雾防治水稻稻曲病。一般在花叶病发病前或发病初期,每季使用2~3次,间隔7~10 d;防治根结线虫在移栽时灌根,每季使用2~3次,间隔28 d左右;防治稻曲病在水稻破口期前7 d,每季使用2次,间隔7 d左右。

12 氟唑菌酰羟胺(pydiflumetofen)

CAS登录号:1228284-64-7;分子式:C16H16Cl3F2N3O2;相对分子质量:426.67。结构式:


氟唑菌酰羟胺属吡唑酰胺类杀菌剂,作用机理属于琥珀酸脱氢酶抑制剂(SDHI)类。适用谷物、玉米、大豆、油菜、蔬菜和特种作物,防治由镰刀菌、尾孢菌、葡萄孢菌、链格孢菌等许多病原菌引起的病害。它有两大特点:1)防治由镰刀菌引起的病害,如小麦赤霉病等;2)防治线虫,如对大豆胞囊线虫防效显著,并具有植物健康作用,可提高作物产量和收益。

理化性质:沸点(557.9±50.0)℃/760 mmHg,闪点(291.2±30.1)℃,蒸气压(0.0±1.5)mmHg/25℃。

2016年氟唑菌酰羟胺在阿根廷首获登记,随后在乌拉圭、智利、美国、加拿大、澳大利亚等国家取得登记。预测年峰值销售额将突破10.00亿美元,是SDHI类杀菌剂中具市场价值的产品之一。中国化合物专利(CN102239137B)将于2029年到期。此农药由瑞士先正达作物保护有限公司研发并取得登记。

98%氟唑菌酰羟胺原药,微毒,PD20190257;200 g/L氟唑菌酰羟胺悬浮剂,低毒,PD20190267;200 g/L氟酰羟·苯甲唑 (氟唑菌酰羟胺+苯醚甲环唑/difenoconazole=75 g/L+125 g/L)悬浮剂,低毒,PD20190268。该品为中-高等抗性风险药剂,持效期较长,在作物生长季严控同类药剂施药次数不超过2次。在发病前或初见零星病斑时用药。制剂产品中,单剂采用50~65 mL/667 m2制剂量喷雾防治小麦赤霉病和油菜菌核病,小麦每季最多使用2次,安全间隔期14 d,油菜每季最多使用1次,安全间隔期21 d。混剂采用40~50 mL/667 m2制剂量喷雾防治黄瓜和西瓜的白粉病,每隔7~10 d使用1次,可连续施药2次,每季最多使用2次,安全间隔期黄瓜3 d、西瓜4 d。本品对鱼类等水生生物有毒。

13 氯氟醚菌唑(mefentrifluconazole)

CAS登录号:1417782-03-6;分子式:C18H15ClF3N3O2;相对分子质量:397.78。结构式:

氯氟醚菌唑属异丙醇-三唑类杀菌剂,作用机理为阻止麦角甾醇生物合成,抑制细胞生长并导致细胞膜坍塌。具有较好内吸传导性,兼具保护和治疗作用,与其他三唑类杀菌剂无交互抗性。适用大田、经济、特种作物及草坪、观赏植物,防控难以防治的真菌病害。

理化性质:沸点(518.7±660.0)℃/760 mmHg,闪点(267.5±32.9)℃,蒸气压(0.0±1.4)mmHg/25℃。

2018年氯氟醚菌唑在韩国首获登记,随后在哥伦比亚、欧盟、美国、澳大利亚、加拿大、英国等国家取得登记。我国氯氟醚菌唑化合物专利(CN103649057B)将于2032年到期。此农药由巴斯夫欧洲公司研发并取得登记。

97%氯氟醚菌唑原药,低毒,PD20190255;400 g/L氯氟醚菌唑悬浮剂,低毒,PD20190263;240 g/L氯氟醚·吡唑酯 (氯氟醚菌唑+吡唑醚菌酯/pyraclostrobin=100 g/L+140 g/L)乳油,低毒,PD20190265;400 g/L氯氟醚·吡唑酯(氯氟醚菌唑+吡唑醚菌酯/pyraclostrobin=200 g/L+200 g/L)悬浮剂,低毒,PD20190264。制剂产品中,一般在发病前或发病初期用药,持效期较长。单剂采用稀释3 000~6 000倍制剂量喷雾防治苹果褐斑病,每隔15 d左右用药1次,连续施药3次,每季最多施药3次,安全间隔期21 d。乳油混剂采用48~55 mL/667 m2制剂量喷雾防治玉米大斑病,间隔10 d左右视发病情况用药1~2次,每季最多施药2次,安全间隔期28 d。悬浮剂混剂采用1 500~2 500倍制剂量喷雾防治葡萄炭疽病,用20~40 mL/667 m2制剂量喷雾防治番茄早疫病;间隔7~10 d用药,连续施药3次,每季最多施药3次,安全间隔期番茄5 d、葡萄7 d。

来源:白小宁, 李友顺, 杨锚, 王以燕. 2019年我国登记的新农药. 农药, 2020, 59(3): 157-166

来源: 农药

 打印   关闭  
中国石油和化学工业协会 中国氯碱网 中国农资人论坛 第九届全国农药交流会暨农化产品展览会
南通江山农药化工股份有限公司 江苏宝灵化工股份有限公司 江苏快达农化股份有限公司 通州正大农药化工有限公司
南通丸宏农用化工有限公司 南通丰田化工有限公司 南通市龙灯化工有限公司 南通同济化工有限公司
南通施壮化工有限公司 南通润鸿生物化学有限公司 南通宏洋化工有限公司 南通派斯第农药化工有限公司
南通正达农化有限公司 南通利华农化有限公司 南通神雨绿色药业有限公司 南通功成精细化工有限公司
南通新华农药有限公司 海门市江乐农药化工有限公司 南通宝叶化工有限公司 南通金陵农化有限公司
南通南沈植保科技开发公司 江苏侨基生物化学有限公司 南通泰禾化工有限公司 迈克斯(如东)化工有限公司
南通市嘉禾化工有限公司(海门) 南通维立科化工有限公司 联合国南通农药剂型开发中心 南通大学公共卫生学院、化学化学院
南通职业大学 南通农业职业技术学院 南通市农业科学研究所 南通市植保站
南通市质量监督检验所      

南通市农药协会 版权所有 苏ICP备18041789号